05:00
Which of these variables do you expect to be uniformly distributed?
Please vote at pollev.com.
01:00
It depends on your desiderata: the nature of your data and what you seek to capture in your summary.
Get out a piece of paper. You’ll be watching a 3 minute video that discusses characteristics of a typical human. Note which numerical summaries are used and what for.
But there are other notions of typical… what about a maximum?
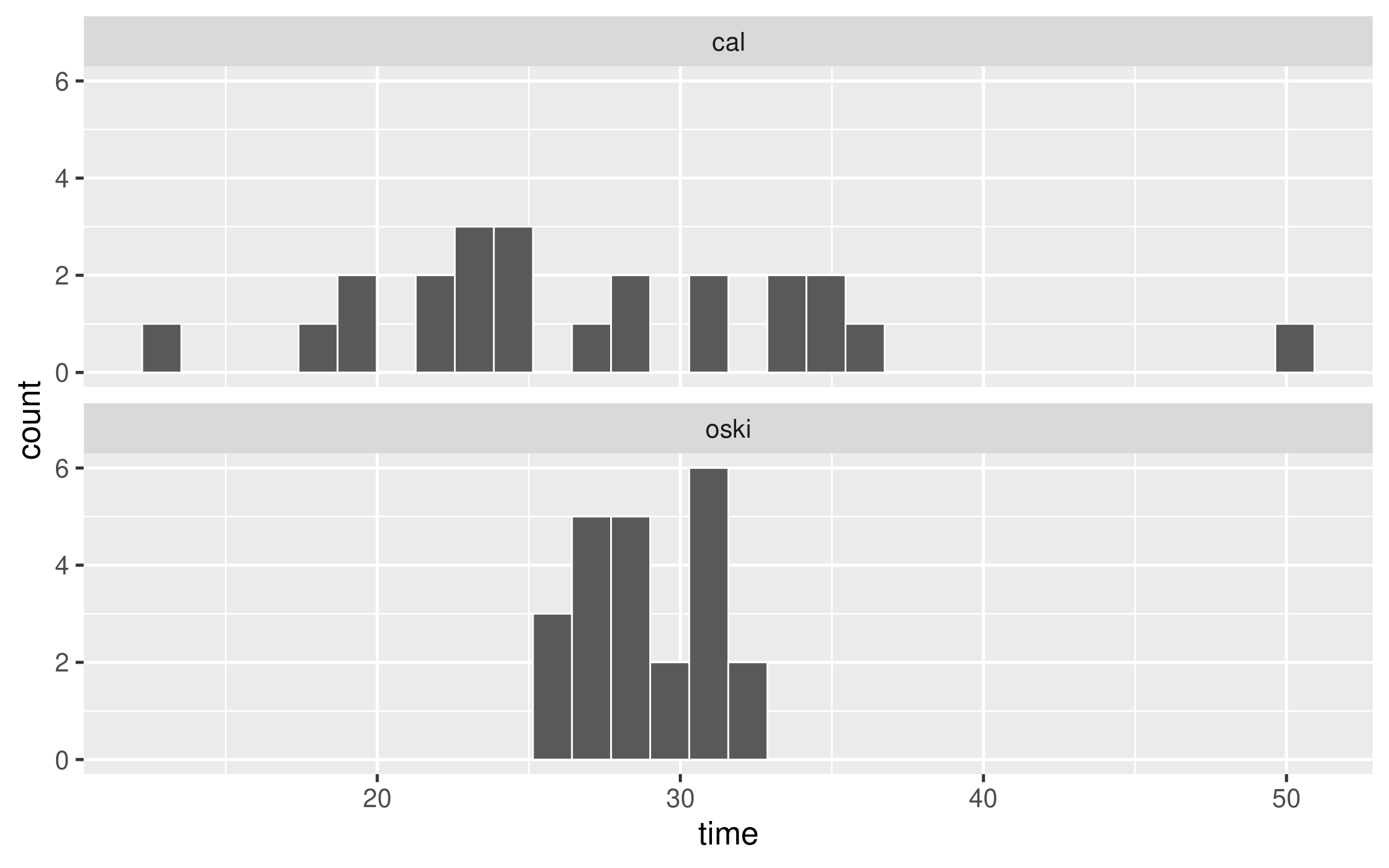
There are two new food delivery services that open in Berkeley: Oski Eats and Cal Cravings. A friend of yours that took Stat 20 collected data on each and noted that Oski Eats has a mean delivery time of 29 minutes and Cal Cravings a mean delivery time of 27 minutes. Which would would you rather order from?
Which would would you rather order from?
01:00
25:00
05:00
25:00
